设为首页
|
加入收藏
|
联系我们
|
用户登录
首页
学校概况
学校简介
现任领导
历任领导
发展历史
一中标识
联系方式
政务公开
通知公告
融媒体中心
领导关怀
交流访问
教师风采
学子风采
校园文化
节日文化
艺体活动
德育管理
学生资助
家校共育
安全教育
法律规章
心理健康
未成年人思想道德建设
教育教学
通知公告
办事指南
教师发展
规章制度
政策文件
语言文字工作
高考榜
新高考改革
招生考试
中考信息
高考信息
学考信息
网上报名
国际办学
最新快报
留学百科
办学成绩
名师风采
Distance
对外交流
社团活动
联系我们
党建工作
党建动态
理论学习
党风廉政
党员风采
组织机构
党建品牌
科室动态
电教之窗
一中工会
平安校园
团委
艺体中心
总务办公
数字校园
办公平台
网上资源
视频点播
网络安全
市一中网盘
校园一卡通
网上图书馆
信息公开
信息公开咨询指南
主动公开目录
主动公开内容
信息公开制度
2026年04月06日 星期一 农历 丙午年(马)二月十九
站内搜索:
通知公告
首页
>
通知公告
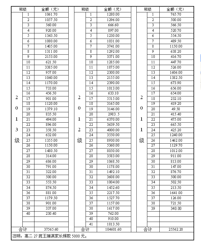
各班级为孙伟强同学捐款明细
发布人:编辑 办公室郝向东 统计 团委 发布时间:2013-09-22
点击量:
3772
友情链接:
--全国中学--
浙江学军中学
河北衡水中学
湖南长沙一中
重庆八中
--山东省中学--
东营市二中
山东省实验中学
历城二中
山东省潍坊第一中学
山东省临沂第一中学
广饶一中
胜利一中
--在线学习--
东营市志愿服务网
国家中小学智慧教育平台
中央宣传部出版物数据中心
东营市安全教育平台
--全国高校--
清华招生网
北大招生网
山东石油化工学院
--教育部门--
东营市教育局开发区分局
山东省教育厅
山东省教育云服务平台
教育部
东营市教育局
教育部阳光高考平台
山东省教育招生考试院
山东省教科院
东营市教育局
山东省学籍平台